Cumhuriyet Halk Partisi Efeler İlçe Gençlik Kolları Başkanı Oğuzhan Madenci, Efeler Belediyesi’nin taşınmaz satış kararına yönelik eleştirilere ilişkin açıklama yaptı. Madenci, AK Partili Ömür Özipek’e yanıt vererek eleştirilerin tek taraflı ve gerçeklikten uzak olduğunu savundu.
“Unuttuğunuz dünü biz hatırlatırız”
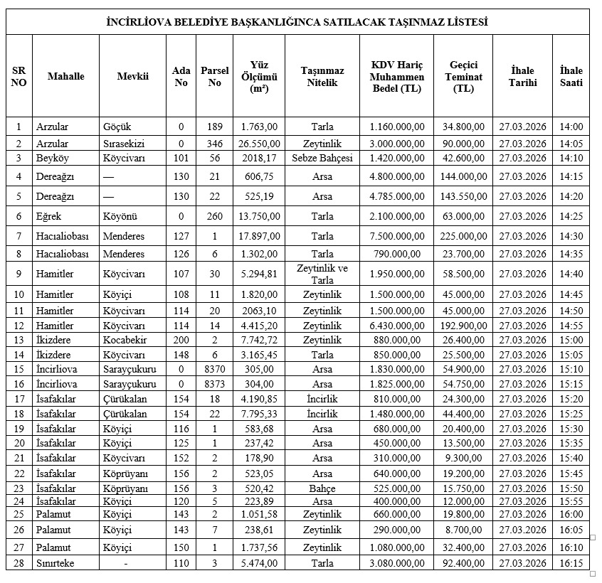
Madenci, açıklamasında AK Partili belediyelerde de benzer uygulamaların yapıldığını belirterek İncirliova Belediyesi örneğini gündeme getirdi. 27 Mart 2026 tarihinde yaklaşık 53 milyon lira değerindeki 28 taşınmazın satışa çıkarıldığını hatırlatan Madenci, bu durumun görmezden gelinmesini eleştirdi.
“Sorun belediyecilik değil, ekonomik tablo”
Belediyelerin içinde bulunduğu mali sıkıntıların temelinde ülke genelindeki ekonomik politikaların yattığını ifade eden Madenci, merkezi bütçeden gelen kaynakların azalması ve artan maliyetlerin tüm yerel yönetimleri etkilediğini söyledi. Madenci, “Sorun belediyecilik değil, yarattığınız ekonomik tablo” dedi.
“Siyasi çelişki” vurgusu
AK Parti cephesinden gelen eleştirilerin samimi olmadığını savunan Madenci, “Aynı uygulamayı kendi belediyeleriniz yaparken sessiz kalıp, konu CHP’li belediyeler olunca eleştirmek siyasi çelişkidir. İğneyi önce kendinize batırın” ifadelerini kullandı.


